Here's how you can reach us...
  • Tel:
  • Email:

Bicyclic Peptide Synthesis

Inquiry

Bicyclic peptides are a class of short peptides consisting of 9 to 15 amino acids. They have many advantages over linear peptides and monocyclic peptides and may be suitable candidates for low-toxicity treatments. With decades of hands-on experience in peptide synthesis and research, CD Formulation has developed specific skills and expertise that enable it to produce bicyclic peptides of superior quality. Our advanced synthesis technology and experienced team ensure that we can handle a range of complexities and challenges associated with bicyclic peptide synthesis, including custom design, optimization of synthetic routes, and strict quality control.

What is a Bicyclic Peptide?

Bicyclic peptides are a class of peptide molecules characterized by the presence of two different peptide rings in their structure, usually connected by chemical cross-links. Bicyclic peptides are one of the most promising drug development platforms due to their biocompatibility, similarity, and chemical diversity with proteins and are considered possible practical tools in various therapeutic and diagnostic applications.

The cyclic nature confers a certain degree of resistance to enzymatic degradation compared to linear peptides. This can enhance their pharmacokinetic properties, such as increased stability in biological systems. In addition, many bicyclic peptides exhibit various biological activities, including antimicrobial, anticancer, and immunomodulatory properties. They often act as ligand mimics of protein targets, affecting signaling pathways.

Fig. 1 Common types of bicyclic peptides.Fig. 1 Four common types of bicyclic peptides. (Feng DZ , et al.,2023)

Explore Our Custom Bicyclic Peptide Synthesis Services

At CD Formulation, our team of peptide synthesis experts has the expertise and specific skills to design and synthesize high-quality bicyclic peptides for a variety of applications based on your needs.

Our scientists are familiar with a variety of synthesis techniques, including solid-phase peptide synthesis (SPPS), liquid-phase peptide synthesis (LPPS), and chemo-enzymatic peptide synthesis (CEPS), allowing us to select the most appropriate technology to support each individual peptide synthesis project. At the same time, we strictly follow quality control standards to ensure that we provide you with high-purity, low-impurity peptide products.

Our bicyclic peptide synthesis services include but are not limited to the following:

  • Bicyclic peptide design: Design appropriate bicyclic peptide structures according to customer needs, optimize the synthesis route, and improve synthesis efficiency and yield.
  • Peptide chain synthesis: Provide high-purity peptide chain synthesis services to meet customers' needs of different lengths and complexities.
  • Molecular docking and simulation: Use computer-aided drug design technology to perform molecular docking simulation to predict the binding ability of the target bicyclic peptide with the target protein.
  • Modification and optimization of bicyclic peptides: Chemically modify bicyclic peptides to improve their stability and affinity for specific biological activities and functional requirements.
  • Purification and characterization: Provide purification services for synthetic products, including high-performance liquid chromatography (HPLC) separation and mass spectrometry analysis to confirm the structure and purity of the synthesized bicyclic peptides.
  • Functional screening and activity evaluation: Perform biological activity tests on the synthesized bicyclic peptides to screen out the most promising candidate molecules.

Our Synthesis Strategies for Bicyclic Peptide

Chemical Synthesis Strategies

  • Ring-closing metathesis synthesis.
  • Ring-closing alkyne metathesis synthesis.
  • Synthesized by C-C bond formation between tryptophan and iodinated tyrosine or phenylalanine.
  • Synthesized by amide bond formation between the a- or g-carboxyl group and the N-terminus of glutamic acid, followed by a second cyclization under amide bond forming conditions.
  • Synthesized by intramolecular thioester linkage on the resin and DMSO-mediated disulfide bond formation of the resin.

Fig. 2 Chemical synthesis of bicyclic peptides.Fig. 2 Various strategies for chemical synthesis of bicyclic peptides. (Ahangarzadeh S, et al., 2019)

Biosynthetic Strategies

  • Synthesized by the ribosomal synthesis system in microorganisms (such as bacteria or fungi). This method can utilize the biosynthetic pathway of natural products, usually regulating their synthesis through genetic engineering technology, and can introduce non-natural amino acids.
  • Using non-ribosomal peptide synthetases (NRPS) to synthesize bicyclic peptides, this method can achieve more complex structures and higher diversity.
  • Targeted modification of enzymes in the synthesis pathway through gene editing technology (such as CRISPR/Cas9) to optimize the production of bicyclic peptides.
  • Use transgenic technology to introduce new enzymes or genes to enhance the synthesis of certain specific peptides.
  • Design and construct new biosynthetic pathways through synthetic biology to achieve efficient synthesis of complex bicyclic peptides.

Peptide Manufacturing & Analytical Services

In addition to peptide synthesis capabilities, CD Formulation combines flexible GMP manufacturing facilities with cutting-edge peptide analytical knowledge to provide a full range of quality control testing services to accelerate the commercialization of your products, including:

  • Peptide identification (ESI-MS).
  • Peptide Molecular weight determination.
  • Peptide sequencing.
  • Peptide quantification/peptide content determination.
  • Peptide purity and impurity analysis (HPLC/UV).
  • Amino acid sequence.
  • Amino acid composition determination.
  • Net peptide content.
  • Enantiomeric purity testing (GC/MS; LC).
  • Residual counterion testing (e.g. TFA).
  • Elemental analysis.
  • Residual solvent testing.
  • Water content testing (GC or KF).
  • Peptide solubility testing.
  • Peptide stability testing.
  • Optical rotation determination.
  • Bioburden testing(TAMC/TYMC).
  • Bacterial endotoxin testing.
  • Sterility testing.
  • Cytotoxicity testing.
  • Process/product related impurity testing.
  • Other pharmacopoeia testing.

Publication

Published Data

Technology: Cyclic RGD Peptides Synthesis

Journal: ACS Med Chem Lett.

IF: 3.746

Published: 2014

Results:

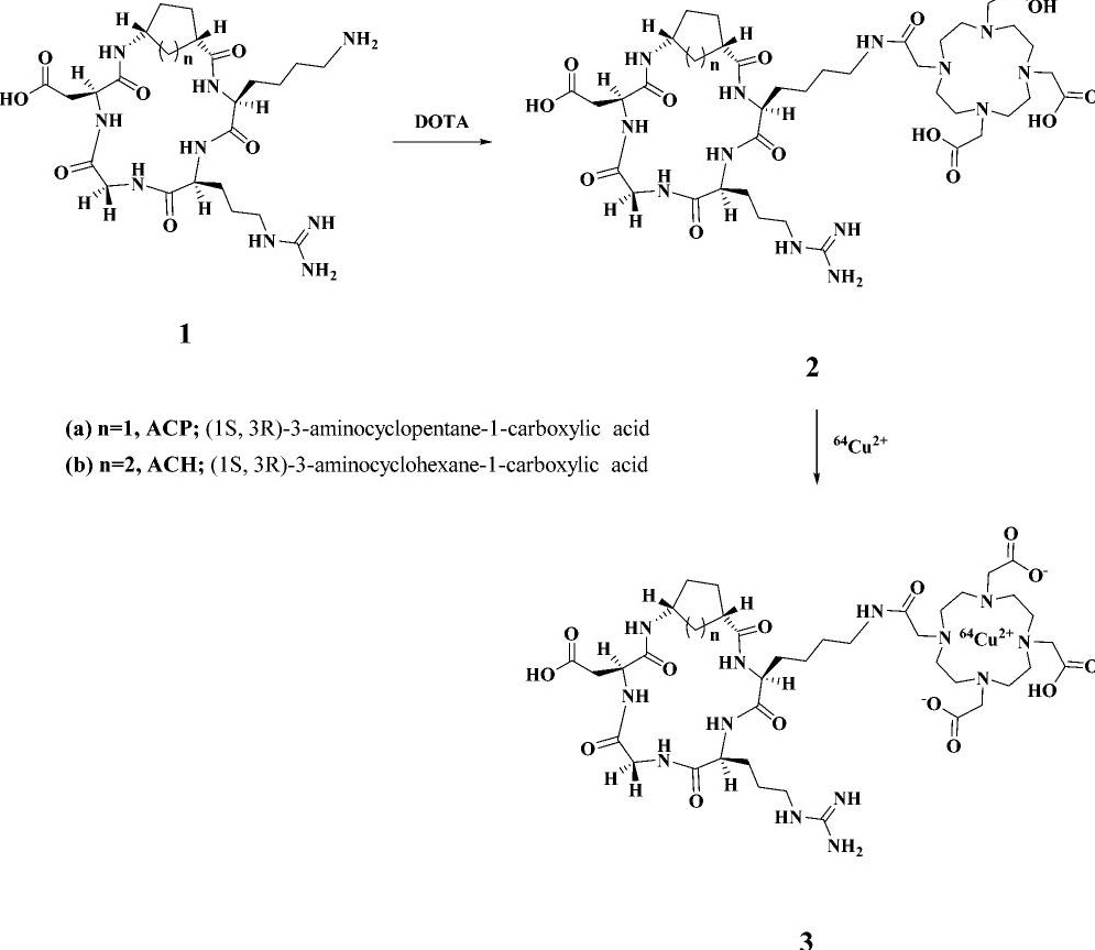
The authors synthesized two new bicyclic arginine-glycine-aspartic acid (RGD) peptides c(RGD-ACP-K) and c(RGD-ACH-K) by grafting amino cycloalkane carboxylic acids onto the tetrapeptide RGDK sequence. The bicyclic RGD peptides were conjugated with DO3A, and radiolabeled with radioactive metal 64 Cu (t 1/2 = 12.7 h; β + 19%, EC 41%), and their distribution and uptake rate in tumor model mice were observed by positron emission tomography (PET). Blocking experiments with these bicyclic RGD peptides conjugates by pre-injection of c(RGDyK) confirmed their targeting specificity and demonstrated their potential as PET radiotracers for imaging α ν β 3-positive tumors.

Fig. 3 Bicyclic RGD peptides.Fig. 3 Synthesize two new bicyclic RGD peptides. (Park JA, et al., 2014)

CD Formulation's bicyclic peptide synthesis services are tailored to meet the specific needs of researchers and organizations seeking high-quality peptides for drug discovery, vaccine development, diagnostics, and other scientific endeavors. Please don't hesitate to contact us if you are interested in our services. We look forward to cooperating with you.

References

  1. Feng DZ , Liu LH , Shi YQ, et al. Current development of bicyclic peptides. Chinese Chemical Letters. 2023; 34(6): 1001-8417.
  2. Ahangarzadeh S, Kanafi MM, Hosseinzadeh S, et al. Bicyclic peptides: types, synthesis and applications. Drug Discov Today. 2019 Jun;24(6):1311-1319.
  3. Park JA, Lee YJ, Lee JW, et al. Cyclic RGD Peptides Incorporating Cycloalkanes: Synthesis and Evaluation as PET Radiotracers for Tumor Imaging. ACS Med Chem Lett. 2014 Jul 10;5(9):979-82.
How It Works
STEP 2
We'll email you to provide your quote and confirm order details if applicable.
STEP 3
Execute the project with real-time communication, and deliver the final report promptly.
Related Services

CD Formulation is an expert in formulation science and pharmaceutical process development in therapeutic proteins & peptides, dedicated to supporting biotherapeutics development and production...

Learn More

  • Tel:
  • Email:

Stay up to date with our latest releases of new research and promotions.

Copyright © CD Formulation. All Rights Reserved.